發布時間:2023-09-21
隨著大規模集成電路以及電子元器件微型化的不斷發展,電子元器件的散熱問題成為影響其使用壽命的關鍵問題,迫切需要具有良好散熱性能的高導熱膠粘劑作為封裝材料。
環氧樹脂具有優良的耐熱性、電絕緣性、密著性、介電性、力學性能及較小的收縮率、耐化學藥品性,加入固化劑后又有較好的加工性和可操作性。因此,目前國外半導體器件較多采用環氧樹脂進行封裝。
環氧樹脂的發展
隨著環境保護呼聲的日益高漲以及集成電路工業對于電子封裝材料性能要求的不斷提高,對于環氧樹脂提出了更高的要求。IC封裝用的環氧樹脂除了要求高純度之外,低應力、耐熱沖擊和低吸水性也是亟待解決的問題。
針對耐高溫和低吸水率等問題,國內外研究從分子結構設計出發,主要集中于共混改性和新型環氧樹脂的合成,一方面將聯苯、萘、砜等基團和氟元素引入環氧骨架中,提高固化之后材料的耐濕熱性能;另一方面,通過加入幾類具有代表性的固化劑,研究固化物的固化動力學、玻璃化轉變溫度、熱分解溫度和吸水率等性能,力求制備出高性能電子封裝材料用環氧樹脂。
幾種特殊環氧樹脂介紹
以下主要介紹幾種電子封裝用的特殊環氧樹脂:
1、聯苯型環氧樹脂
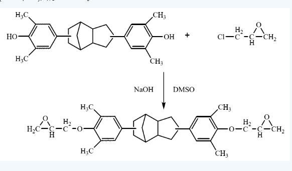
通過兩步法合成的四甲基聯苯二酚型環氧樹脂(其結構如圖)經DDM和DDS固化后,展現了較高的耐熱性,良好的機械性能和較低的吸水率。
四甲基聯苯二酚型環氧樹脂的結構及其1H-NMR
另有研究者組合成了一種新型含聯苯結構的環氧樹脂,反應式如下圖所示。DDS固化后,煮沸吸水法測得吸水率為1.53%。聯苯結構的引入,耐熱性和耐濕性能都有較大的改善,有利于應用于電子封裝材料領域。
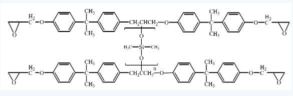
2、含硅環氧樹脂
電子封裝領域的另一個研究熱點是引入有機硅鏈段,該研究既可以提高耐熱性,又能增強環氧固化后的韌性,并且含硅聚合物具有良好的阻燃特性,含硅基團的低表面能致使其遷移到樹脂表面,形成耐熱保護層,從而避免聚合物發生進一步的熱降解。
有研究者采用氯封端有機硅氧烷聚合物改性雙酚A型環氧樹脂,通過端基氯與環氧鏈上的羥基反應生成Si-O鍵,其結構式如下圖所示。
這種方法在不消耗環氧基的前提下,提高樹脂固化物的交聯密度,既起到了增韌樹脂的效果,又提高其耐熱和耐沖擊等性能。
3、含氟環氧樹脂
含氟聚合物有很多獨特的性能,氟元素具有最大的電負性,電子與核之間的作用力大,與其他原子間化學鍵的鍵能大,折射率低,含氟聚合物的耐熱性、耐氧化性和耐藥品性能優異。
含氟環氧樹脂具有防塵自潔、耐熱、耐磨、耐腐蝕等性能而且還能改善環氧樹脂的溶解性,同時,具有優良的阻燃性,成為電子封裝領域內的新型材料。
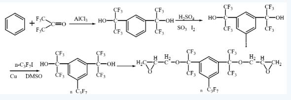
美國海軍實驗室合成的含氟環氧樹脂室溫下為液態,具有極低的表面張力。經硅胺室溫固化或氟酐固化后,可得到具有優良的強度、耐久性、低表面活性、高Tg和高極限穩定性的環氧樹脂。其合成步驟為:
4、含雙環戊二烯環氧樹脂
通過Friedel-Crafts反應可以合成雙環戊二烯鄰甲酚醛樹脂,反應式如下圖所示。該樹脂分別用甲基六氫苯酐和聚酰胺651固化劑固化,固化物的Tg分別為141°C和168°C,同單純的E51固化樹脂相比提高約20°C。
雙環戊二烯環氧樹脂結構及1H-NMR
有一種新型的低介電雙環戊二烯型環氧樹脂(見下圖)性能可以與商品化的雙酚A型環氧樹脂相媲美,5%熱失重大于382°C,玻璃化轉變溫度為140-188°C,而且吸水率(100°C,24h)只有0.9-1.1%。
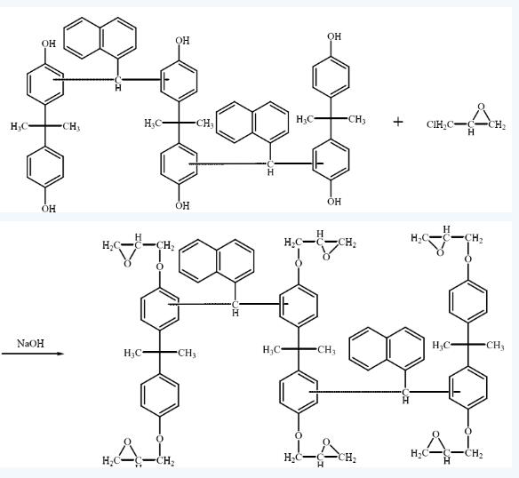
5、含萘環氧樹脂
有研究者合成了一種新型含萘結構酚醛環氧樹脂,反應式如下圖所示。其DDS固化物表現出優異的耐熱性能,Tg為262°C,5%熱失重為376°C。
雙酚A-萘甲醛酚醛環氧樹脂的合成
6、脂環族環氧樹脂
脂環族環氧樹脂的特點是:純度高、黏度小、可操作性好、耐熱性高、收縮率小、電性能穩定及耐候性好等優點,特別適合高性能電子封裝材料低黏度、高耐熱性、低吸水性和電性能優異等要求,是極有發展前途的電子封裝材料。
下圖所示的是一種新型的耐熱性液體脂環族環氧化合物的反應過程。將脂環族烯烴二元醇與鹵代烴經醚化反應生成脂環族三烯烴醚化物,再將其進行環氧化可制得。
7、共混改性環氧樹脂
共混是一種有效改善材料性能的重要方法。在一種環氧基質中,摻入另一種或幾種環氧樹脂,使基質材料的某一種或幾種特定性能發生改善,從而獲得綜合性能更優異的新材料。在環氧模塑料中,通過共混可以達到降低成本,提高使用性能和加工性能的目標。
在未來的生產研究中,為了使環氧樹脂能夠全面應用于國內電子封裝行業中,改進制備工藝技術、探索耐濕熱高性能環氧樹脂和中溫耐濕熱環氧樹脂的固化體系,以及新型環氧樹脂改性添加劑的制備是該研究領域的發展方向。
微譜對于環氧樹脂的分析有著豐富的研究經驗,通過多種儀器測試手段,強大的譜庫建設與團隊解析經驗,可以測定多種環氧樹脂、固化劑與微量助劑等。
同時,微譜緊跟市場新產品的更新換代,針對多個領域的新型電子封裝膠的產品進行項目研究,可進行對比分析產品的優異,也可以幫助研究新型產品,完善產品的性能。
編輯:化工新材料技術薈集地
素材來源于網絡,僅用于學習、交流,如有侵權請告知刪除。